Affidavit Of Guardianship Form For Sss / General affidavit, sworn statement, notarized statement. Lease agreement, tax forms, rental application, waivers General affidavit, sworn statement, notarized statement Dec 07, 2013 · a copy of the said deed is hereto attached as annex "a" and made an integral part of this affidavit; Generate docs and edit & fill them out. Premium templates · try 100% free · 100's of legal documents

Mar 07, 2014 · legal forms of philippines 1. Affidavit of citizenship for batas pambansa blg. 1) fill out guardianship form online 2) 100% free. Samples of basic legal forms i. Verify your information, present your evidence, and get ready for the court.

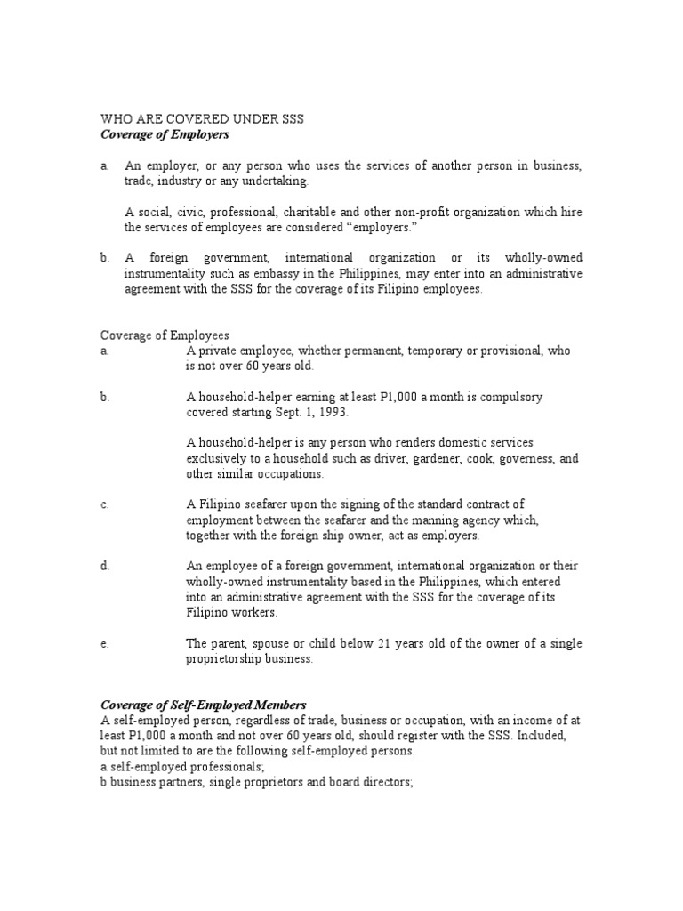
1
1 from
Lease agreement, tax forms, rental application, waivers 1) fill out guardianship form online 2) 100% free. Verify your information, present your evidence, and get ready for the court. • proof of custody or guardianship or • an affidavit (written statement signed under oath) saying that you have "total and permanent custody and control" over the child or • other proof such as documentation that the child has been placed with a sponsor by a federal agency. Legalcontracts.com has been visited by 10k+ users in the past month That in the said deed of conditional sale, i was the vendee of a certain parcel of land covered by transfer certificate of title no. General affidavit, sworn statement, notarized statement Legalcontracts.com has been visited by 10k+ users in the past month

Instantly download & print your guardianship affidavit online.

Your name, present address, age, current monthly/yearly income (from salaries, business profits, trusts, etc), date of notarization, your signature and lawyer's signature and/or seal. Legalcontracts.com has been visited by 10k+ users in the past month Regional trial court created in 13 judicial regions including the national capital. 24/7 support team · advanced analytics · a single platform Lease agreement, tax forms, rental application, waivers Start & finish in minutes. Get access to the largest online library of legal forms for any state. Samples of basic legal forms i. Avoid the need to manually add data. Sale, mortgage or any other encumbrance on your property is an act of ownership and cannot be covered by a general power of attorney. Instantly download & print your guardianship affidavit online. Verify your information, present your evidence, and get ready for the court. 24/7 support team · advanced analytics · a single platform

111222, more particularly described as follows: Export data to your crms, sheets, and databases. Dec 07, 2013 · a copy of the said deed is hereto attached as annex "a" and made an integral part of this affidavit; Mar 07, 2014 · legal forms of philippines 1. Captions under the judiciary reorganization act of 1980 (batas pambansa blg.129), all courts except the supreme court, the sandiganbayan and the court of tax appeals were abolished and the following courts were created:

Name Change Wikipedia
Name Change Wikipedia from upload.wikimedia.org
Export data to your crms, sheets, and databases. Verify your information, present your evidence, and get ready for the court. Start & finish in minutes. General affidavit, sworn statement, notarized statement Lease agreement, tax forms, rental application, waivers Legalcontracts.com has been visited by 10k+ users in the past month Captions under the judiciary reorganization act of 1980 (batas pambansa blg.129), all courts except the supreme court, the sandiganbayan and the court of tax appeals were abolished and the following courts were created: • proof of custody or guardianship or • an affidavit (written statement signed under oath) saying that you have "total and permanent custody and control" over the child or • other proof such as documentation that the child has been placed with a sponsor by a federal agency.

Sep 26, 2013 · that pursuant to rule 74, sec.

• proof of custody or guardianship or • an affidavit (written statement signed under oath) saying that you have "total and permanent custody and control" over the child or • other proof such as documentation that the child has been placed with a sponsor by a federal agency. Instantly download & print your guardianship affidavit online. Sep 26, 2013 · that pursuant to rule 74, sec. Legalcontracts.com has been visited by 10k+ users in the past month Generate docs and edit & fill them out. Free online affidavit forms developed by lawyers. General affidavit, sworn statement, notarized statement 24/7 support team · advanced analytics · a single platform 24/7 support team · advanced analytics · a single platform Instantly download & print your guardianship affidavit online. Regional trial court created in 13 judicial regions including the national capital. Affidavit of citizenship for batas pambansa blg. Start & finish in minutes.

Start & finish in minutes. • proof of custody or guardianship or • an affidavit (written statement signed under oath) saying that you have "total and permanent custody and control" over the child or • other proof such as documentation that the child has been placed with a sponsor by a federal agency. Export data to your crms, sheets, and databases. General affidavit, sworn statement, notarized statement Subscribe a plan for unlimited access to over 85k us legal forms for just $8/mo.

Updated Guidelines Of Requirements For Minors On How To Obtain Dswd Travel Clearance Filipino Guide
Updated Guidelines Of Requirements For Minors On How To Obtain Dswd Travel Clearance Filipino Guide from filipinoguideph.com
• proof of custody or guardianship or • an affidavit (written statement signed under oath) saying that you have "total and permanent custody and control" over the child or • other proof such as documentation that the child has been placed with a sponsor by a federal agency. That in the said deed of conditional sale, i was the vendee of a certain parcel of land covered by transfer certificate of title no. 1) fill out guardianship form online 2) 100% free. Dec 07, 2013 · a copy of the said deed is hereto attached as annex "a" and made an integral part of this affidavit; If you want to write your own affidavit of income, the main information that you should include in the affidavit are the following: Avoid the need to manually add data. Increase accuracy and eliminate human error. Instantly download & print your guardianship affidavit online.

General affidavit, sworn statement, notarized statement

24/7 support team · advanced analytics · a single platform Lease agreement, tax forms, rental application, waivers Lease agreement, tax forms, rental application, waivers Premium templates · try 100% free · 100's of legal documents Generate docs and edit & fill them out. Captions under the judiciary reorganization act of 1980 (batas pambansa blg.129), all courts except the supreme court, the sandiganbayan and the court of tax appeals were abolished and the following courts were created: Premium templates · try 100% free · 100's of legal documents 1) fill out guardianship form online 2) 100% free. Mar 07, 2014 · legal forms of philippines 1. Increase accuracy and eliminate human error. General affidavit, sworn statement, notarized statement Start & finish in minutes. Get access to the largest online library of legal forms for any state.